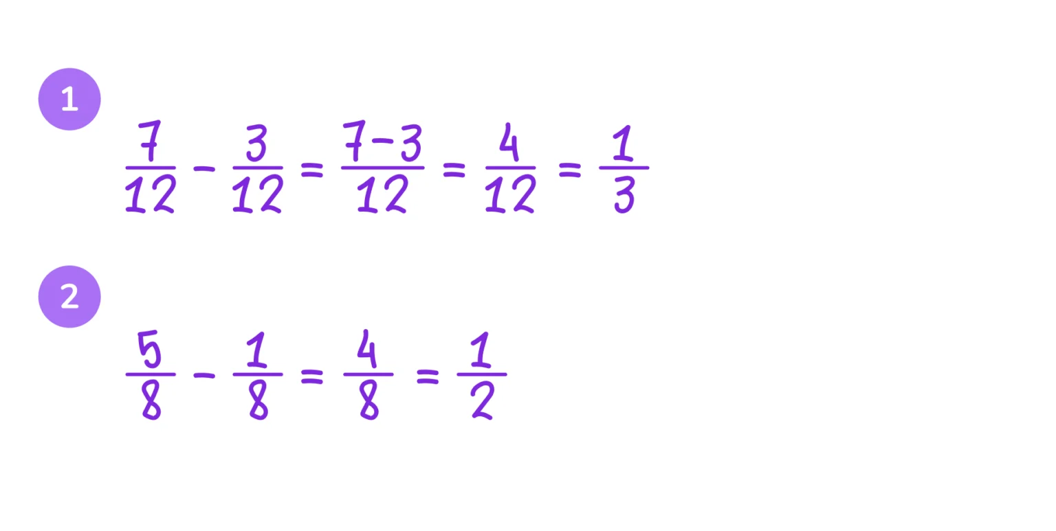
Выполнить вычитание дробей 5 класс
Выполнить вычитание дробей 5 класс 88 фотографий
Какой наполнитель без запаха
Почему собака дышит высунув язык дома
Ярлык сбербанка на экран домой
Для остановки кровотечения применяют пальцевое прижатие
Vr игра гонки
Надзор и контроль за деятельностью общественных объединений
Обои бмв старая
Хорошие вентиляторы для корпуса 120 мм
8 8 4 4 память ddr3
Кронштейн для монитора north bayou
Жить ради сына
Коты самой дорогой породы
Мнемотехника константина дудина
Моносахарид 9 букв сканворд
Газель второй цилиндр
Нарушение памяти врач
Команда чтобы найти ближайшую деревню
Песня проводи домой sevenrose
Отец выгнал детей из дома
Маршрут 60 автобуса время






















































































