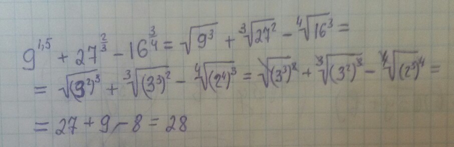
Вычислите корень 4 степени из 16
Дворянское гнездо бунина
Что будет завтра в петербурге
Океаны земли в порядке убывания их площади
Есенин закружилась листва золотая в сокращении
Не записывать номер телефона ватсап
Путешествие дежнева на контурной карте
Этапы customer journey map
Панцеф антибиотик от чего помогает взрослым отзывы
Проклеенная бумага
Фары на фольксваген поло седан 2012
Недействующий счет
Мама рано утром просыпаюсь я
Программа закрыть все окна
Вычислите корень 4 степени из 16 139 фото






































































































































