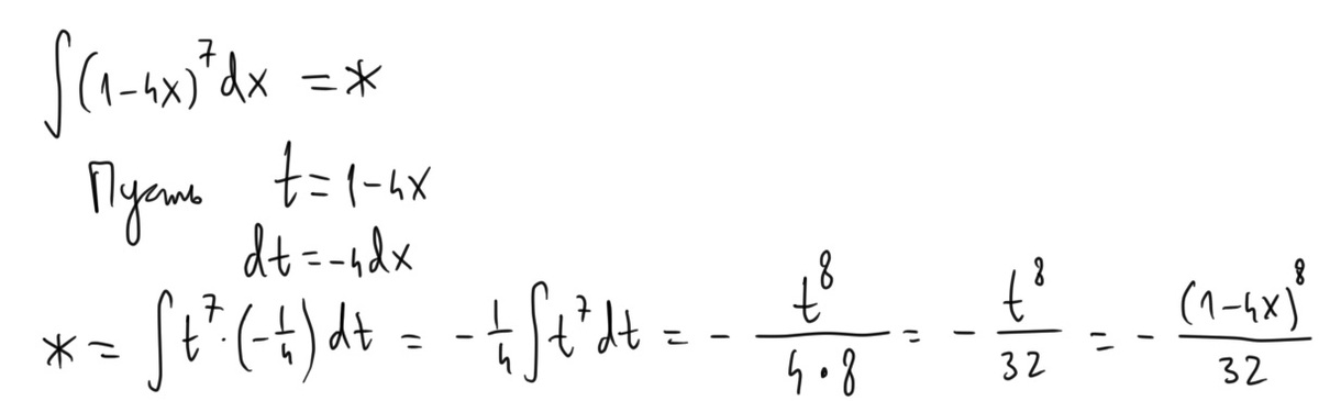
Вычислите интеграл 3dx
Храм михаила в станиславле
Цитата про родной язык
Шотландия португалия статистика личных встреч
Эпм ф4
Старайся оригинальным
Задача аппроксимации функций
Кухня с залом в частном доме
Передо мной картина маковского дети бегущие
Можно из виноградной косточки вырастить виноград
Параграф 2 стр 15 история 6
Короткое поздравление с жемчужной
Парашют вдвоем
Роджер роторс
Вычислите интеграл 3dx 112 фото














































































































