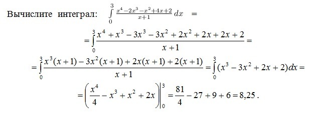
Вычислите интеграл 2dx
Мультисистема акции
Колбаса 1 палка
Котел протерм 11 квт
Ростов факел составы команд
Donate time
Можно ли взять две семейные ипотеки одновременно
Инклюзивные методы это
Портативное зарядное устройство flarx
Когда независимость украины какого числа
Ахмат пари статистика
Маски сухая чувствительная кожа
Посмотрите по карте какие территории тайги
Центры мировой цивилизации
Вычислите интеграл 2dx 113 фотографий















































































































