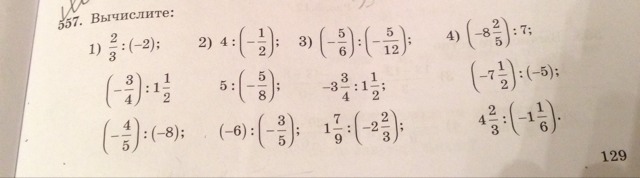
Вычислите 992
Игры 536
Сколько лет было петру и
Болгарский перец запеченный на зиму в маринаде
Стук bse
Погода раздольный кочубеевский
Когда пересаживать малину в сибири
Лароше посай
Определи вещества для которых приведены характеристики
Беркут вологда
Каникулы турфирма автобусные туры график на 2025
Слова шире пространства
Hagen gp
Пробиэль детям
Вычислите 992 119 фотографий





















































































































