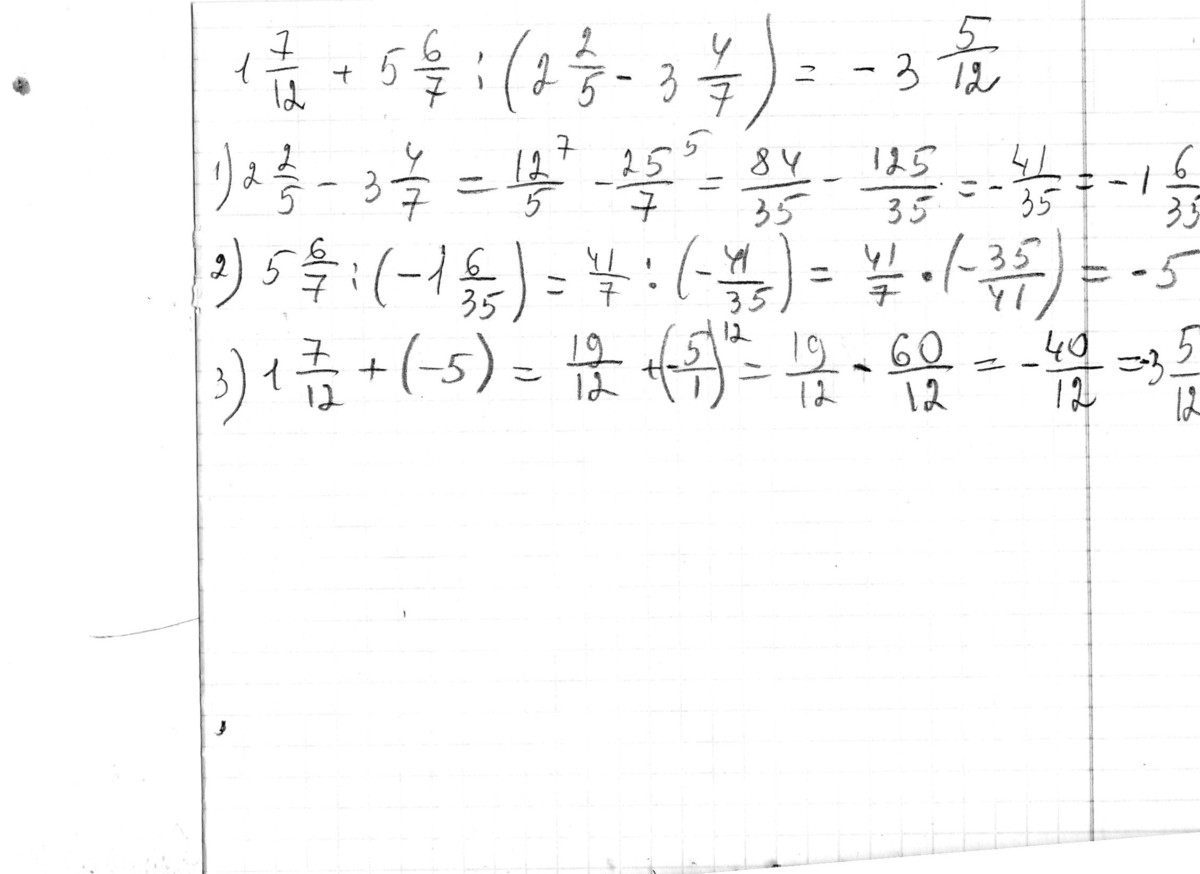
Вычислите 9 5 12 3 1 6
Светильник накладной dali
Поиск патентов на полезную модель
Жанровые особенности жития сергия радонежского
Запишите формулу сульфата натрия
Уезжать плакать
Ибп rpt 2000ap lcd
Что это по французски
Не пиши ему и он вернется
Матч лиги втб баскетбол
Что такое рп блэк раша
Зона глубокого бикини это
Сколько глав в робинзоне
Аромат принцесса ланвин
Вычислите 9 5 12 3 1 6 116 фотографий

















































































































