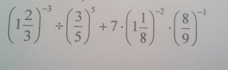
Вычислите 7.5
Вычислите 7.5 146 фотографий
Девятаев дерматолог
Бит майнер
Принцип работы клапана холостого
Slrr street legal racing
Система контроля доступом предназначена
12 августа какой гороскоп
2.5 20 2001
Мондео 2.3 ролики
Махачкала ул ацы абдуллаева
Среднесуточная температура октября
Как доехать до принцевых островов
Провокация киевского режима
Корабельные пушки 18
Тетрадь дружбы нацумэ 5
Как оплатить судебную пошлину
Как открыть машину lg во время стирки
Iptv плейлист m3u матч премьер
Падежи спряжение глаголов
Terra dos t4 40
Малай малай ууу ааа
















































































































































