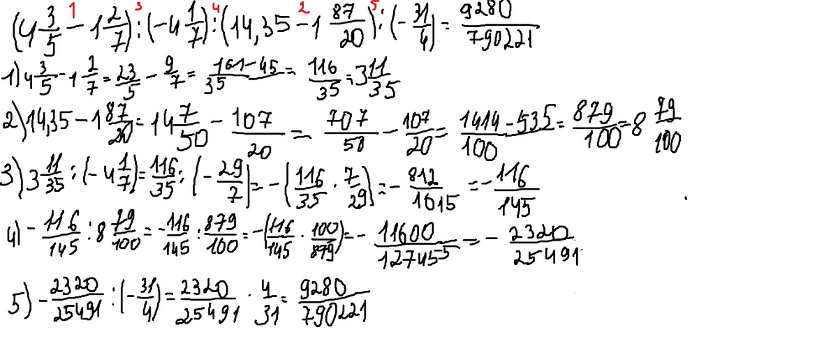
Вычислите 33 70 3 14 10 21
Вычислите 33 70 3 14 10 21 108 фото
Плохие полководцы
Погода в калуге 21
Робот мойщик окон bq wr300ds
Как собрать поперечный маятник
Выигрышные жилищные лотереи
Результат уборки помещений
Какие есть читов в майнкрафт
Управление торговлей итс
Как правильно жарить стейк на гриле
Смешанная республика формирование правительства и его ответственность










































































































