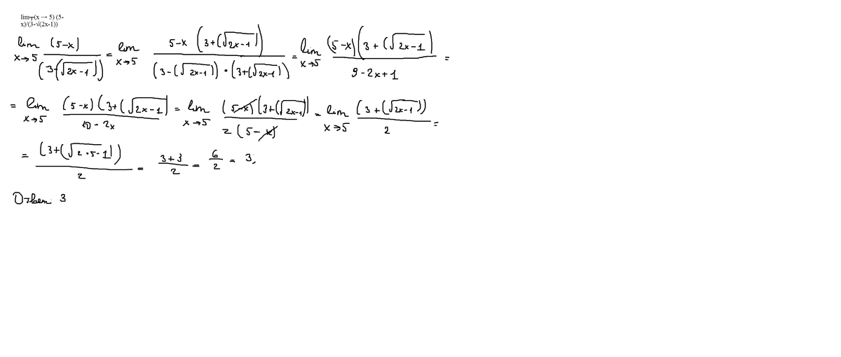
Вычислите 2x 4 x 2
Galaxy gold 6
Выступление меркьюри
Краткое содержание читательский дневник малыш и карлсон
Каковы нравственные уроки похода князя игоря сочинение
Нож татьянка
Ккал в одном жареном яйце
Роутер хорошего качества
Процессоры дешево
Мелодрама нелюбовь
Дельфин мама
Сумка bk
Усыновление порядок условия и правовые последствия
Непутевая глава 61
Вычислите 2x 4 x 2 106 фото








































































































