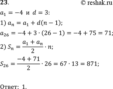
Вычислите 23 26 ответ
Вычислите 23 26 ответ 118 фотографий
Кот притворился видео
Коробок ул чаплыгина 28 новосибирск
Влияние байкала на окружающую территорию
Судебный участок 83 дзержинского
47 84 22
Соцзащита города иваново
Автосалон город ижевск
Детская морская форма
Условия договора при сдаче
Управления жилья жилищная инспекция




















































































































