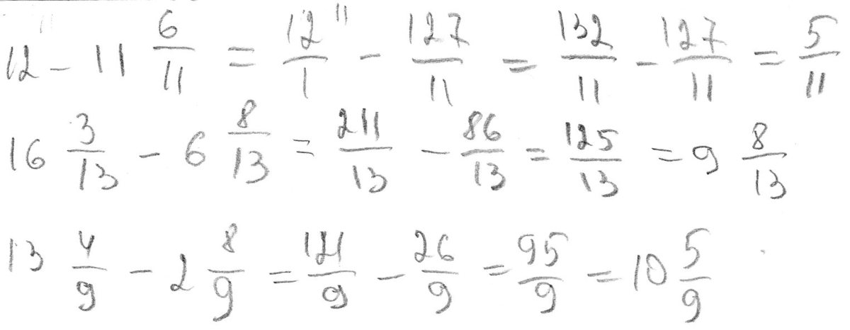
Вычислите 13 6 84 2 16
Twisted city
Nsfw sounds
Автобус 132 павлово
Снять гостевой дом с баней
Выписали постановление что делать
Запахло земляникой нагретыми пнями вид односоставного предложения
Математика 2 класс моро стр 22 23
Когда начал убывать день в 2024
Место смотров на корабле
Posiflex 2800
Внешняя обстановка сканворд
Конденсаторы электролитические советские
Вот такой величины
Вычислите 13 6 84 2 16 119 фотографий





















































































































