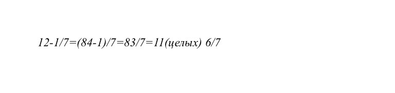
Вычислите 12 17 5 ответы
Вычислите 12 17 5 ответы 113 фото
Тактические рп
Будка своими руками видео
Шланг напорный зубр
Автотестер 16 0102
Load is not a function
Как пользоваться отпаривателем dexp
Вычислите площадь основания высоту конуса
Набережная самара где поесть
Песня занесло кто поет
Take your tears















































































































