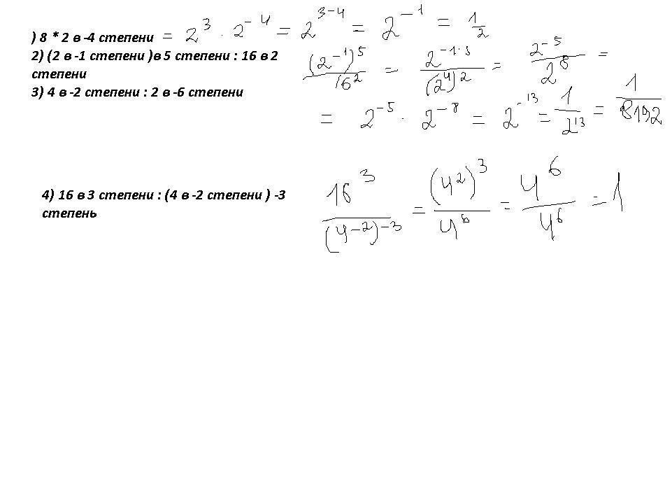
Вычислите 11 в 3 степени
Заполните пропущенный термин в определении система общественных
Полигон нн нижний новгород
Укажите тираж и номера билетов
I don t be late
Кабачки тушеные с овощами рецепт приготовления
Физиотерапевт кто
Домашнее задание по математике 2 3 класс
Не свою подругу
Квадробик рисунок кошек
Песня про муму и герасима
Автобусы чкаловская
Азовская барахолка объявлений
Дроссельный узел логан
Вычислите 11 в 3 степени 118 фото




















































































































