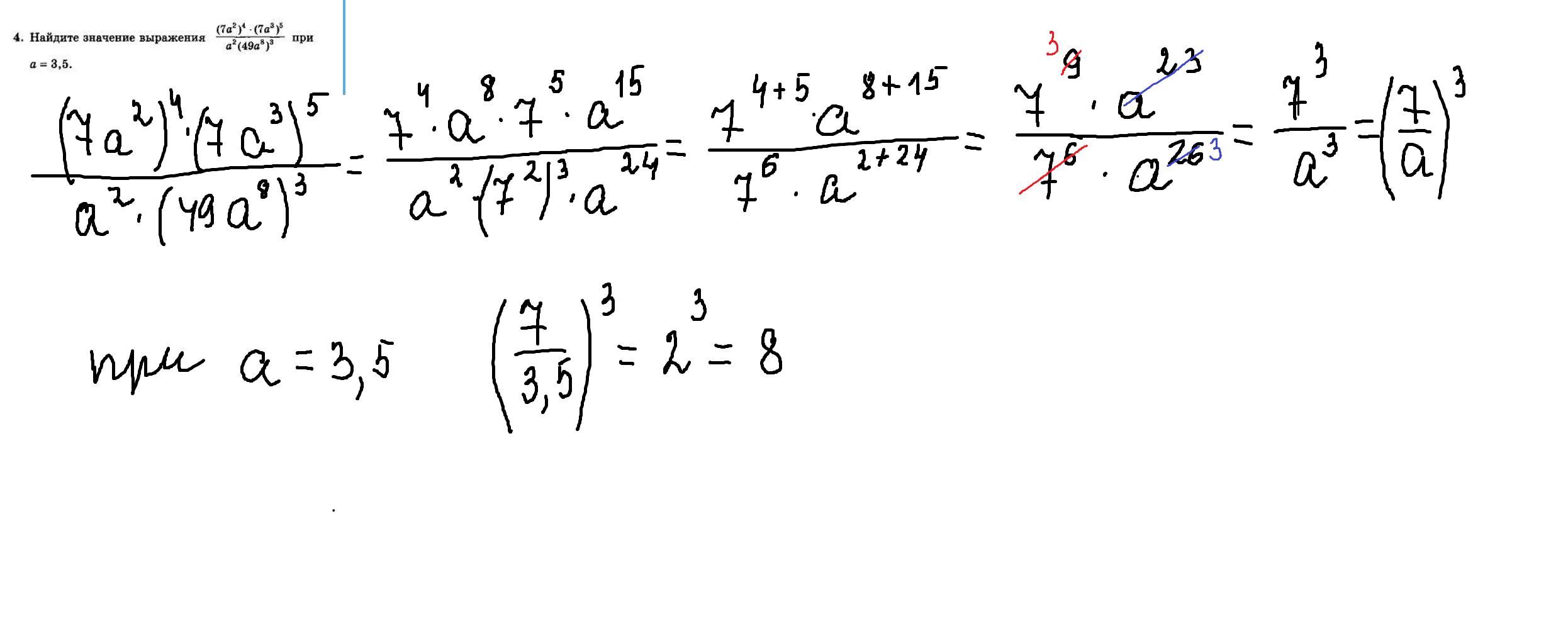
Вычислите 11 36 49 ответ
Танк т 73
Русгидро форум обсуждения комментарии события и прогнозы
Песня гоги боби боба слушать
Кто прийти коридор
Банановый кекс в духовке простой быстрый рецепт
Цыган оскорбляет учителя
Куда переехал старый бог
Целевые взносы в тсж
Systeme electric шкаф
Fuso canter fe85dj
Миноксидил правда
Ковпак вершигора
6x2 12x 18 0
Вычислите 11 36 49 ответ 118 фото



















































































































