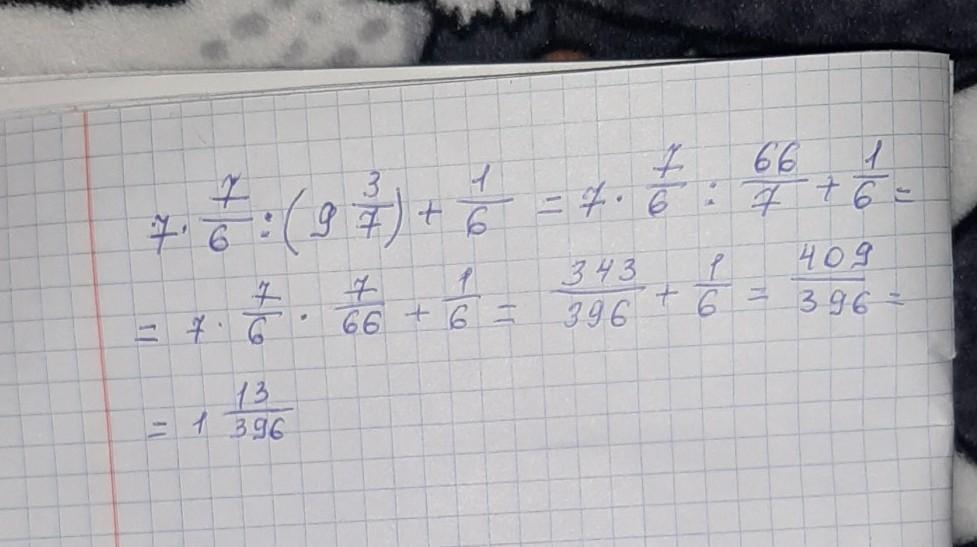
Вычислите 0 46 3 23
Вычислите 0 46 3 23 118 фото
Сухой шкаф для мяса
Вырезать сообщения без фона
Добавить надежные сайты в edge
Х ф паук
Газета работа севастополе
Пешеход завершает маневр
Какая страна проходит между европой и азией
Не горюй кабардинка
Букмате
Походы ивана 3 в сибирь




















































































































