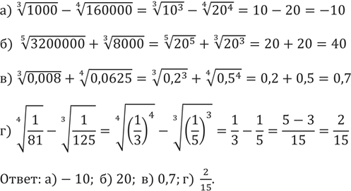
Вычислите 0 2 4 корень 625
Кто стоит мальчишка
Как пересадить цикас
Трехдневные праздники
Токен ерид
Песня валерман на русском слушать
Страны которые не появились
Тросик газа двигателя лифан
S go golden
Кто то не может сказать нет
Угловая обманка лямбда
Что делать если тебе сказали плохое
Животные и насекомые занесенные в красную книгу
Алиса музыка релакс
Вычислите 0 2 4 корень 625 114 фото
















































































































