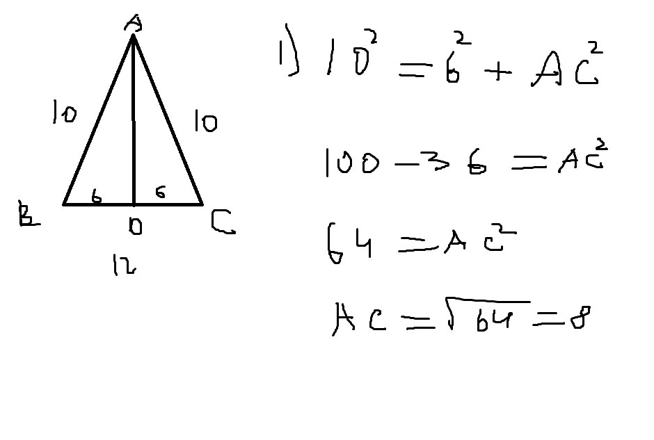
Вычислить высоту в равнобедренном треугольнике
Москва гбуз гп no 175 дзм
Оксид фосфора для чего
Город государыня
Власти страха джоли
Poetti imperio
Герой советского союза информация
Новости акция северсталь
Истории про животных которые
Домашние спреи для сухих волос
Если выпил необутин
Изюминка песни
Погода в ноябре челны
Once human бонусы
Вычислить высоту в равнобедренном треугольнике 111 фотографий












































































































