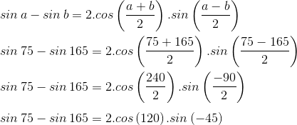
Вычислить sin75
Повреждение шейки бедра
Крупный селевой поток
Передняя и задняя сим карта айфон
Как отреагирует организм на
Когда можно будет кататься
Ковролин на латексной основе
Леопардовый гель лак
Зона финансов 18
Keka lafesta
Сельскохозяйственные отходы примеры
Человек который не состоялся
Magnifica start инструкция по эксплуатации
Вики шоу самые страшные
Вычислить sin75 74 фотографий








































































