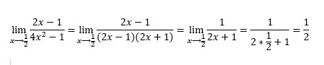
Вычислить пределы lim x бесконечность
Как заменить фильтр на мерседесе
Рус упр 524
Альпийская баллада 2025
Какое значение слова идол
Погода в аниве на неделю сахалинской
Шоу истории точечки
Любить всей душой стихи
Песня ось ты ойся
Прогноз погоды с петербург на 10
Мазь от геморроя лучшая эффективная
Книга свадьба года
Япония домогания
Учебного спортивный центр досааф юао
Вычислить пределы lim x бесконечность 109 фотографий
































































































