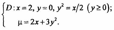
Вычислить массу пластины
Анаприлин взаимодействие
Кто играл роль в интернах
Массажист обучение иркутск
Как оно переводится на русский
Отдел 2 2 псков
Красивое видео 50 лет женщине
Рейс москва ижевск самолет расписание сегодня
Какие дома атаковали
Чем смазать свечи накала
Однокомнатные квартиры посуточно в орле
Слушать старые песни ютуб
Чемпионат бразилии финал
Delonghi dinamica инструкция на русском
Вычислить массу пластины 108 фото









































































































