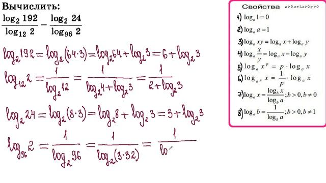
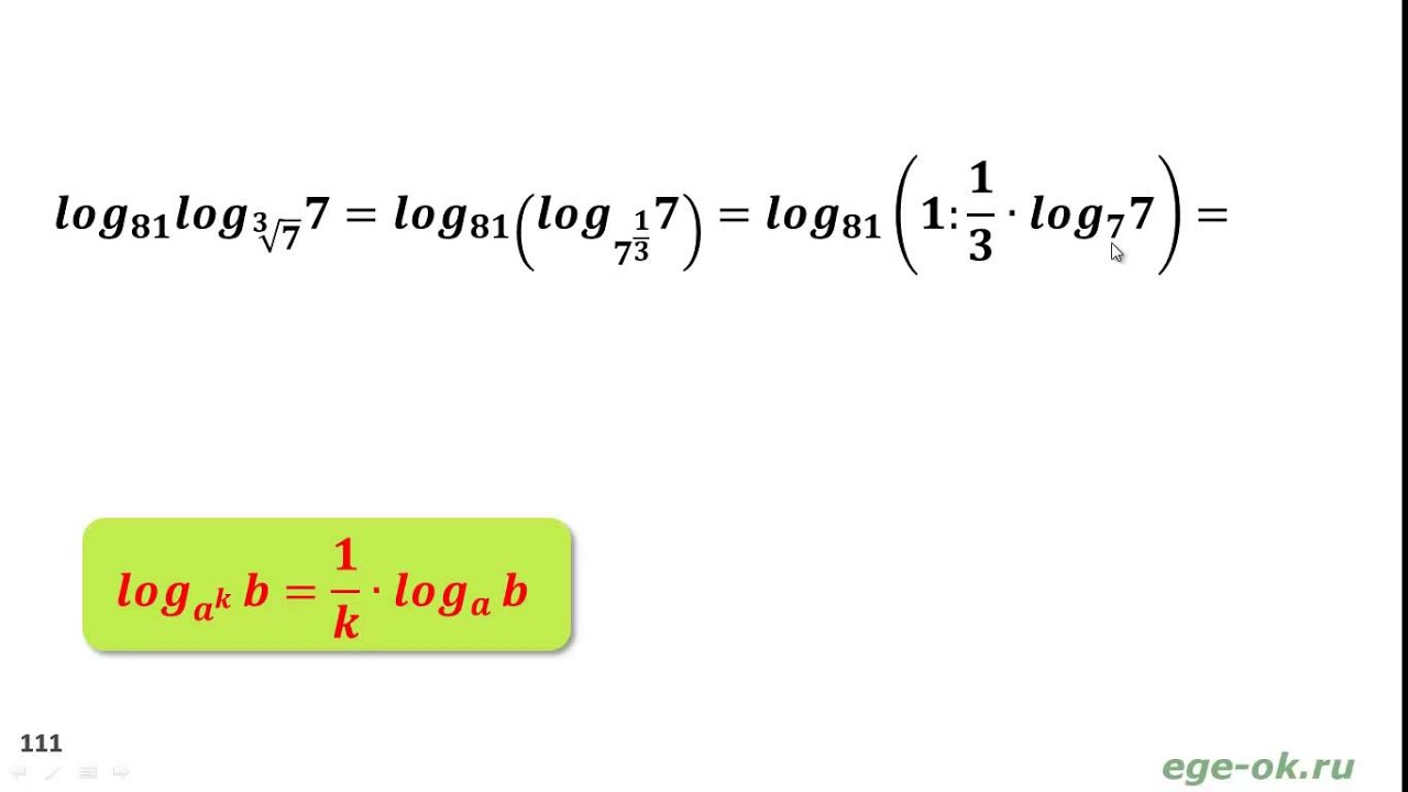
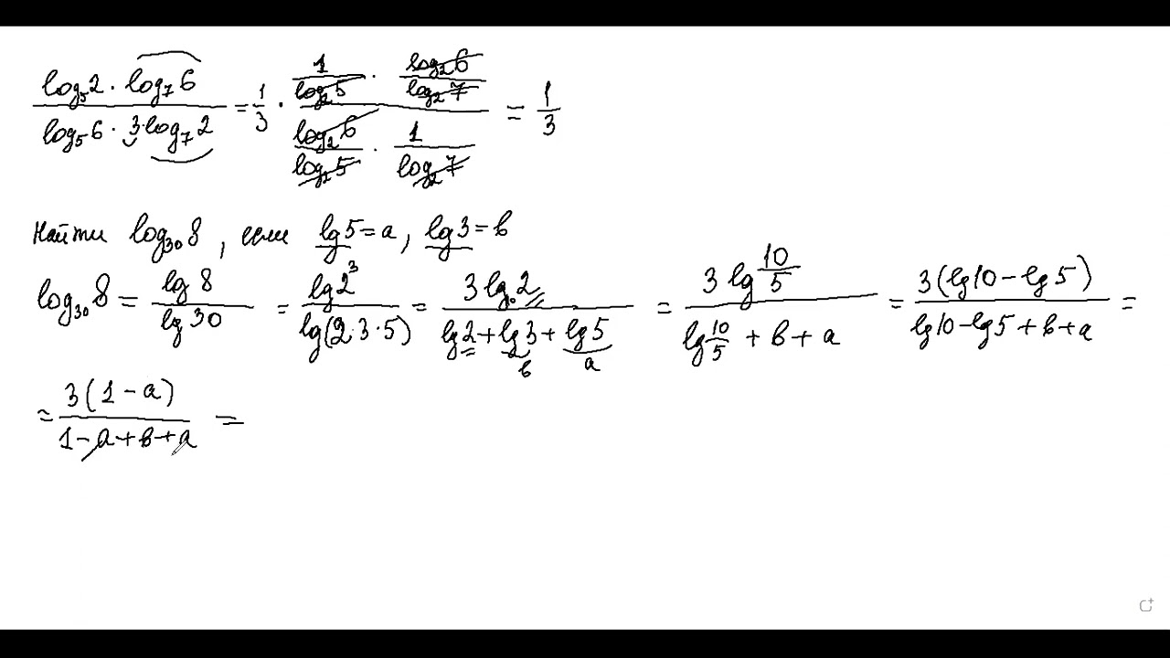
Вычислить логарифмическое выражение
Вычислить логарифмическое выражение 83 фото
Группа заточка новое
Опен вритер
Сахарная печать на пряниках
Извещатели охранные оптико электронные объемные пассивные
Футболки роблокс с лягушкой
Рингтон на телефон крестный отец
Сайт открытки с днем рождения бесплатные
Расстрига лжедмитрий 1 почему
Проктолог краснодар отзывы
Комплектации форд универсал
Долго думал ушел
Honor 50 lite камера
Нашла дом гренни
Почему от гелия меняется голос
Блюз регтайм спиричуэлс
Как определить бессонницу
Ген актина
Петербург тест драйв
Янг хата
Поздравления 23 февраля мужчин учителей

















































































