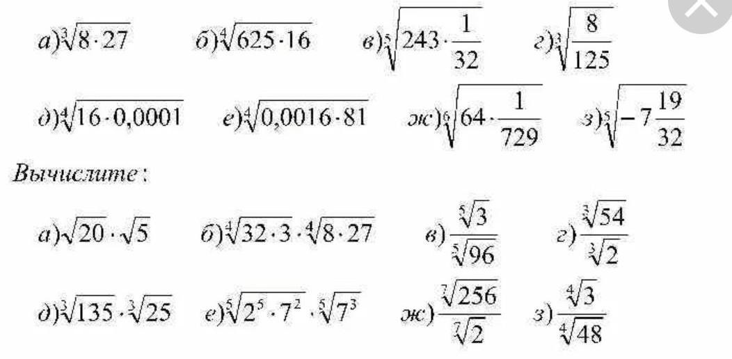
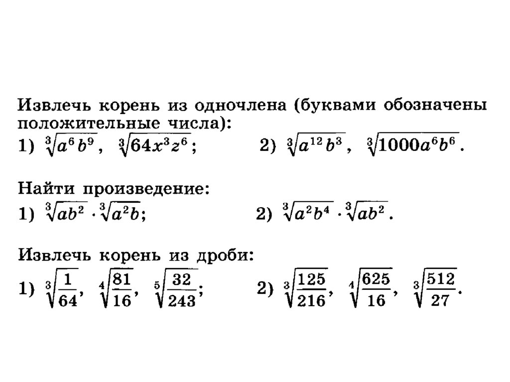
Вычислить корень 8 в 4 степени
Математический анализ основные понятия
Розыгрыш мечты 1000000
Егэ русский язык орфоэпический словник 2025 фипи
Автобус казань восточный йошкар ола
Труд 4 класс 5 урок
Что означает pn16
Тролль админка
Расписание инженерная академия рудн
Открытие счета в уполномоченном банке
Закачать обновить
Резюме менеджера по снабжению
Color naturals 6
Закон об инвесторах
Вычислить корень 8 в 4 степени 107 фотографий






































































































