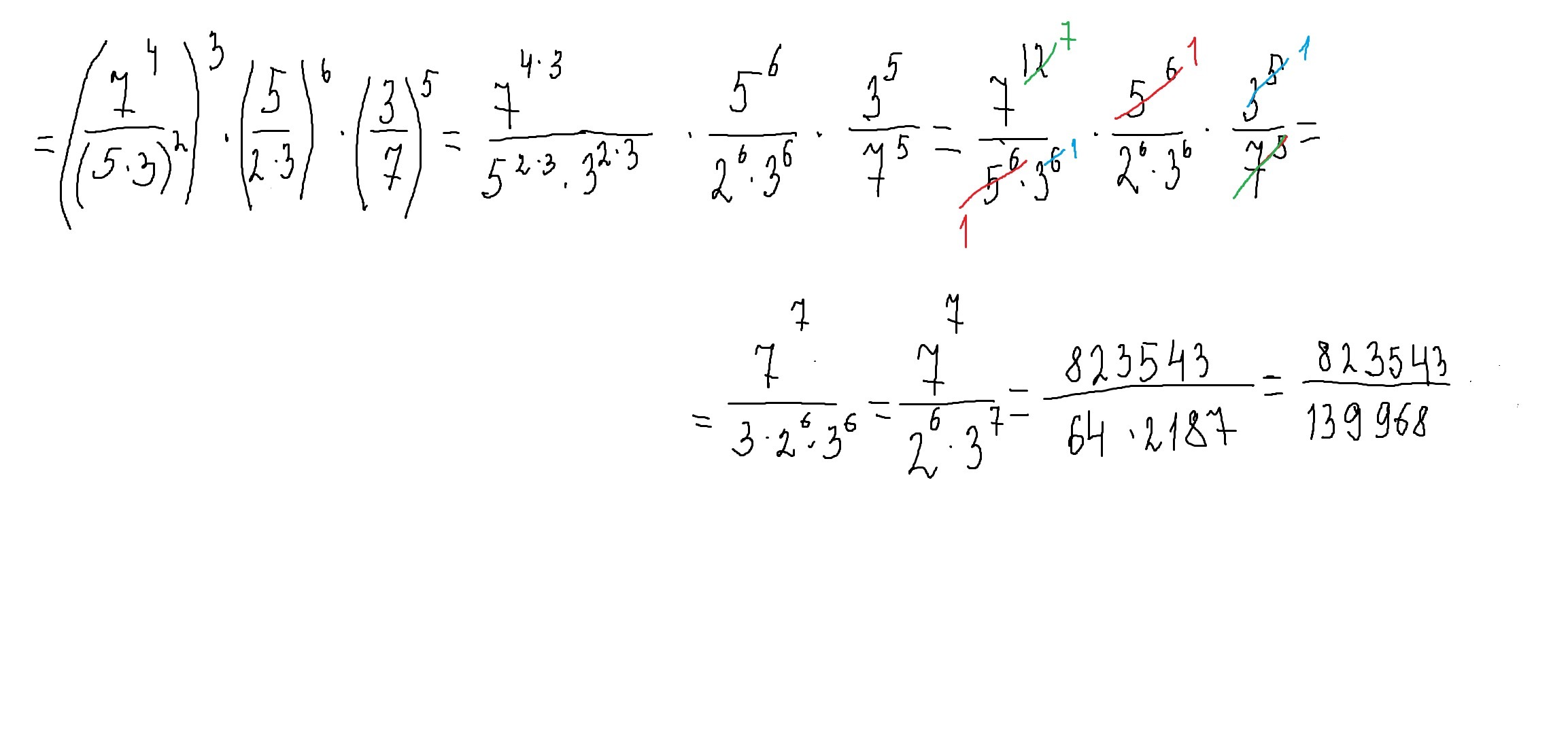
Вычислить Пример Онлайн С Решением По Фото
Краснодарские Девчонки 18 Фото
Фото На 3 Д Отзывы
Интимные Фото Блогерш
Приложение Чтобы Раздеть Девушку На Фото
Толстолобик Рыба Фото Речной
Кошки Породы Серебристая Шиншилла Фото
Фото Белой Акулы В Море
Фото Спб Пр Просвещения
Веселые Картинки Журнал Сейчас
Пугачева В 50 Лет Фото
Н М Языков Произведения Картинки
Вельш Терьер Фото Разновидности
Лариса Березовская Сгэу Фото
Вычислить Пример Онлайн С Решением По Фото 116 фото











































































































