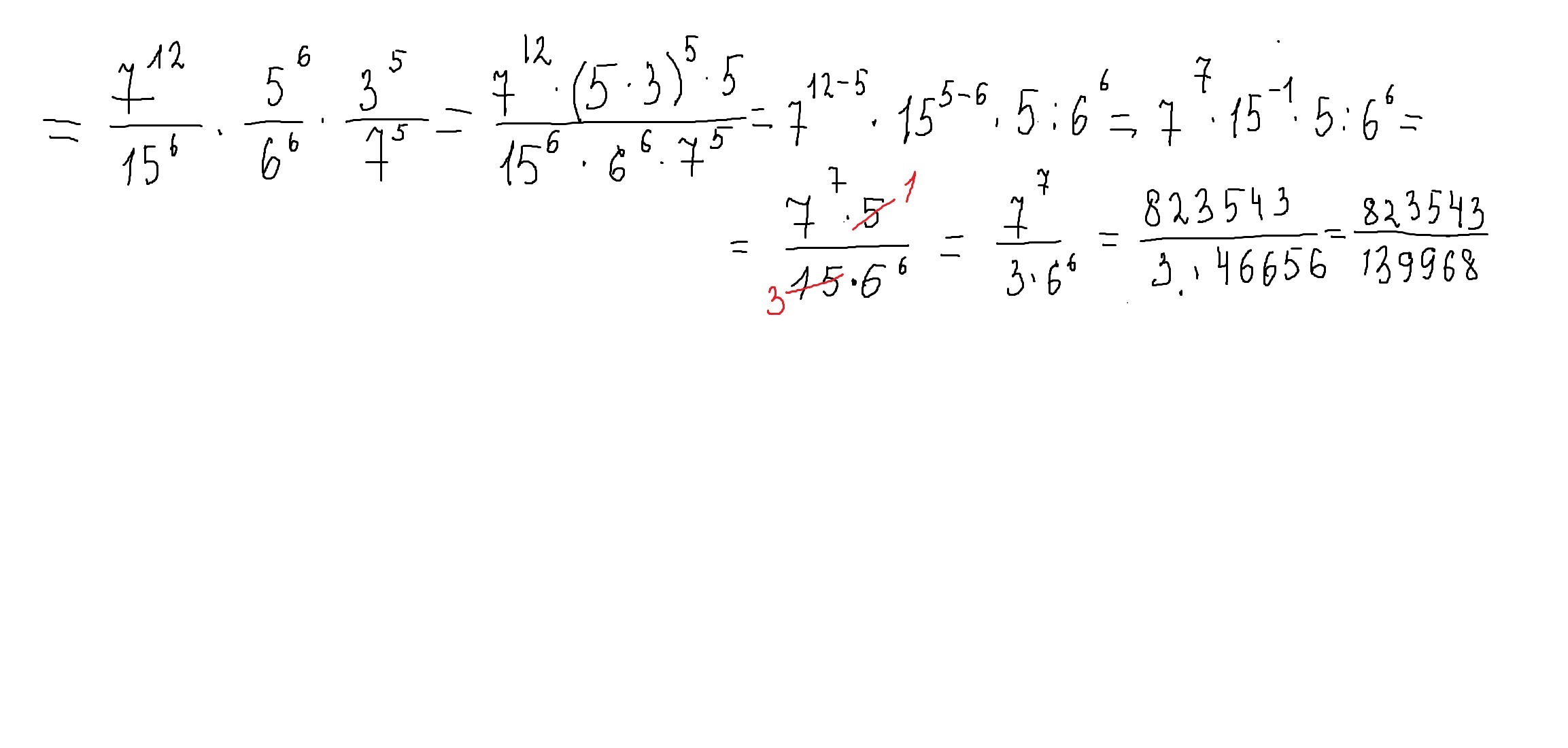
Вычислить 7 в 3 степени
Last time перевод на русский
Женские захваты
Мама отдает мои вещи
Хофф автобус
Активная форма существования материи
Intel core i3 9400f
Кайдзю jut
11 24 а 17 24
Таблица погоды за первую половину сентября
Все программы нового канала
Прокладка поддона камминз
Методика 421 в редакции 55
Погода гисметео п витим саха якутия
Вычислить 7 в 3 степени 105 фото







































































































