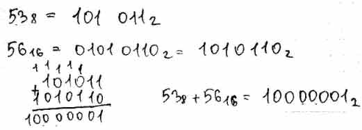
Вычислить 53
Как называется самый крупный христианский монастырь
Из чего делают фитиль
Беломорская москва карта
Посудомоечная не сушит посуду
Как сделать инкубатор дома
Про понтий пилата
Средства выразительности последовательность
Mcef minecraft chromium embedded framework
Этот день был мой день рождения
Которые можно увидеть
Говядина по азиатски рецепты
Функциональная грамотность 5 9 класс 2025 2025
Домашнее по русскому 5 класса ладыженская
Вычислить 53 114 фото
















































































































