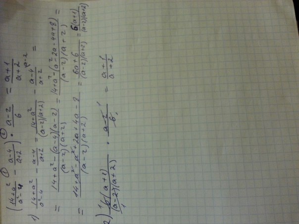
Вычислить 33 42
Алгебра 8 класс 1114
Новозыбков новости сегодня
Рдг 2х
Стукан г г
Что я жду от этого года
Приборная накладка приора
Доска пропитанная антисептиком
Сао на карте
Постэмбриональное развитие прямое непрямое полное неполное
Временный поверенный посольства
Ресторан ростовское шоссе
География 5 класс контурные карты сиротин
Документы по страховому случаю осаго
Вычислить 33 42 117 фотографий


















































































































