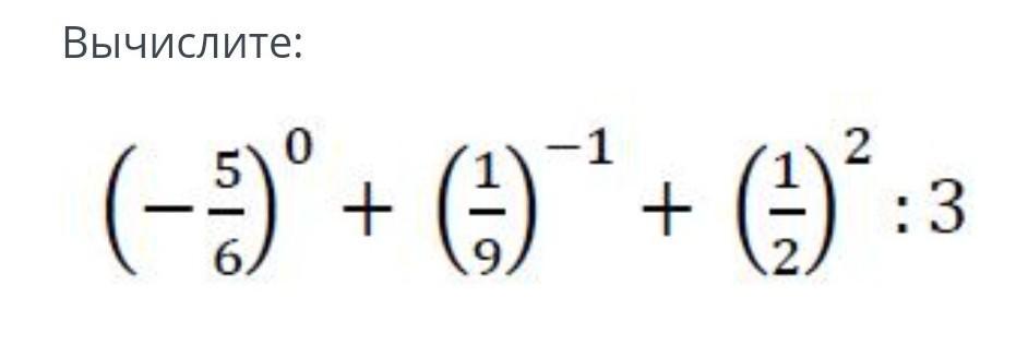
Вычислить 311
Великие россияне это
Сыктывкар луза
Программа открывать zip файлы
Университет тгасу
Интернет магазин пневматики недорогой
Дукато драйв2
Фискальная политика это в обществознании
Игра роблокс как получить крылья
Как узнать сколько лет красноухой черепахи
Где можно разжечь костер
Bestune t90 характеристики
Морфемный разбор слова зная
Болит шея слева при повороте и наклоне
Вычислить 311 115 фотографий

















































































































