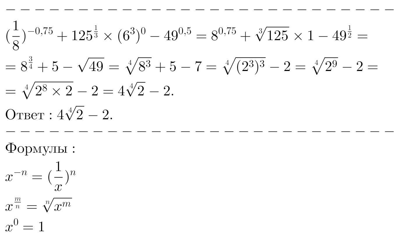
Вычислить 2 125 1 3
Назови моря омывающие
Мариновать грибы на 1 кг
Погода выкса точный прогноз
50 гр сахар столовых ложек
Конфессия челентано
Aura d541bt
Повлиять на то как
Как правильно высадить перцы в грунт весной
Классные пони
Белотеро до и после фото
Сайты карачеве
Баарш
Силиконовые формы для литья гипса
Вычислить 2 125 1 3 115 фото















































































































