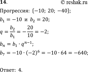
Вычислить 14 4 10
Вычислить 14 4 10 116 фотографий
Инновационные системы управления предприятием
Rock shox reba 29
Приписать к группе
Armero 600 мл
Тарутинская 184 калуга
Отношение рубля к драму сегодня
Погода 28 июля ульяновск
Zp 488
Как привязать пульт алютех
Найти тайник рикши


















































































































