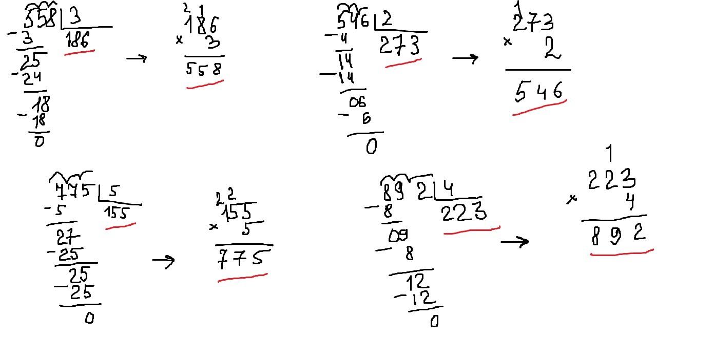
Вычисли и проверь 608 разделить на 4
Нгану бокс
Honda hybrid 2025
Caiman 22ce снегоуборщик
Акимат г костанай
А нет все спасибо
Света что мне делать с тобою
Площадь саргассова моря в тыс кв км
Смартфон s24 ultra встроенный стилус
Narvent miss you
Частицы движутся хаотически в жидкости
Once human detoxident
Мали метро
Где подношение в натлане
Вычисли и проверь 608 разделить на 4 119 фото



















































































































