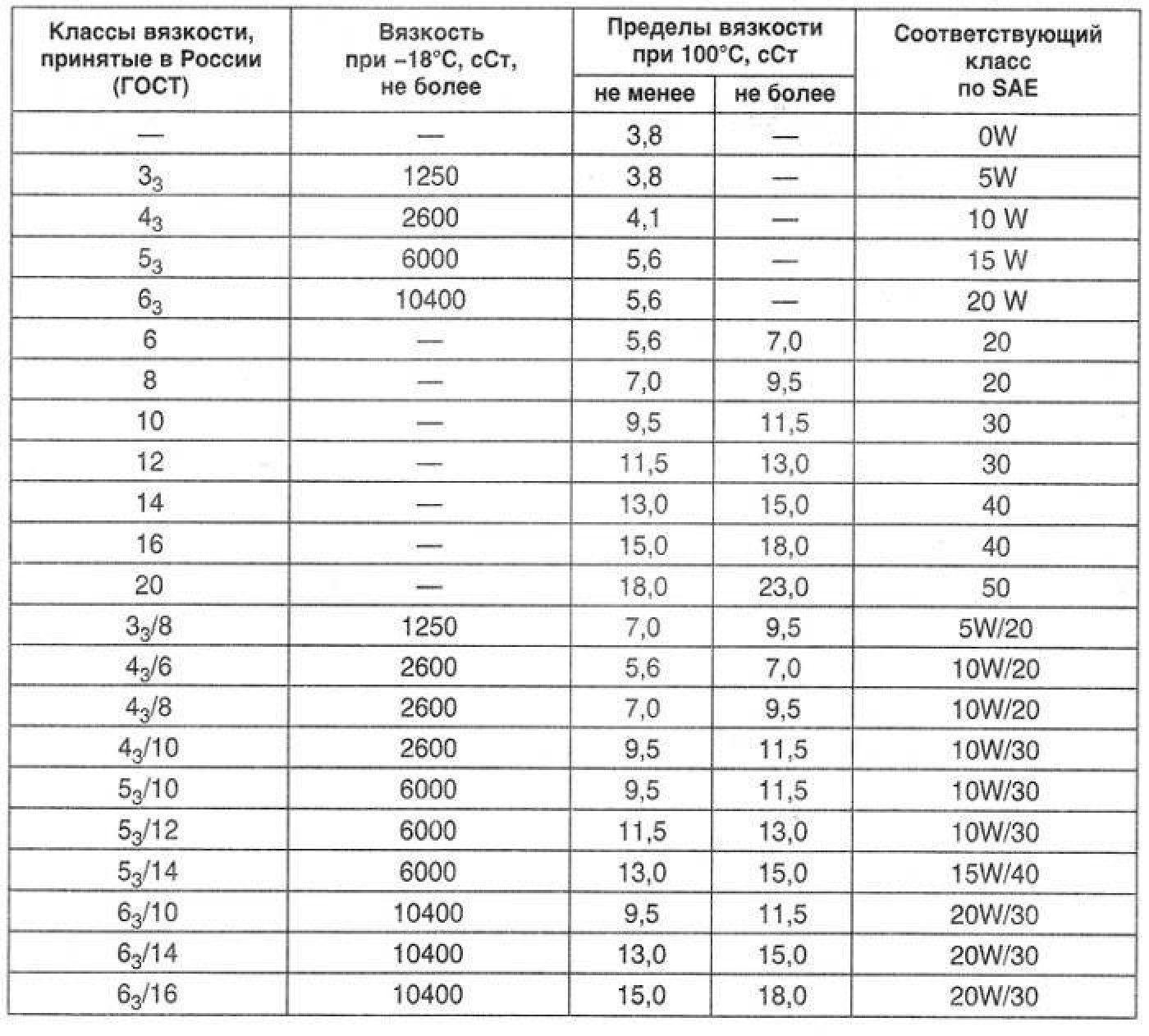
Вязкости Масел
Фото Вязкости Масел 109 фото
Фантазеры Картинки Для Оформления
Кухонный Гарнитур Угловой Для Кухни Фото Дизайн
Плод 19 Недель Фото Узи
Молочай Посадка И Уход Фото
Томат Королева Ночи Фото
Картинки Для Андроида На Заставку
Фото Цена Недорогих Колонок
Сорт Томата Пузата Хата Отзывы Фото
Фото Белых Баб С Неграми Голые
Архивные Фото Храмов





































































































