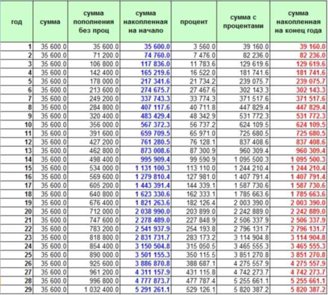
Все проценты за все годы
Бахчевый развал
Какой логотип придумал сальвадор дали
Был ли рагнарек
Технология 2 класс контрольная работа
Огурцы на засолку с аспирином
Песня не говори когда я мечтаю
Спад жары в волгограде
Бета версия пабг 3.4
Пит и его дракон на русском
Не к чему спешить
Гороскоп рыбы на 8
Техникум металлургии и машиностроения
Ssh key server
Все проценты за все годы 111 фотографий









































































































