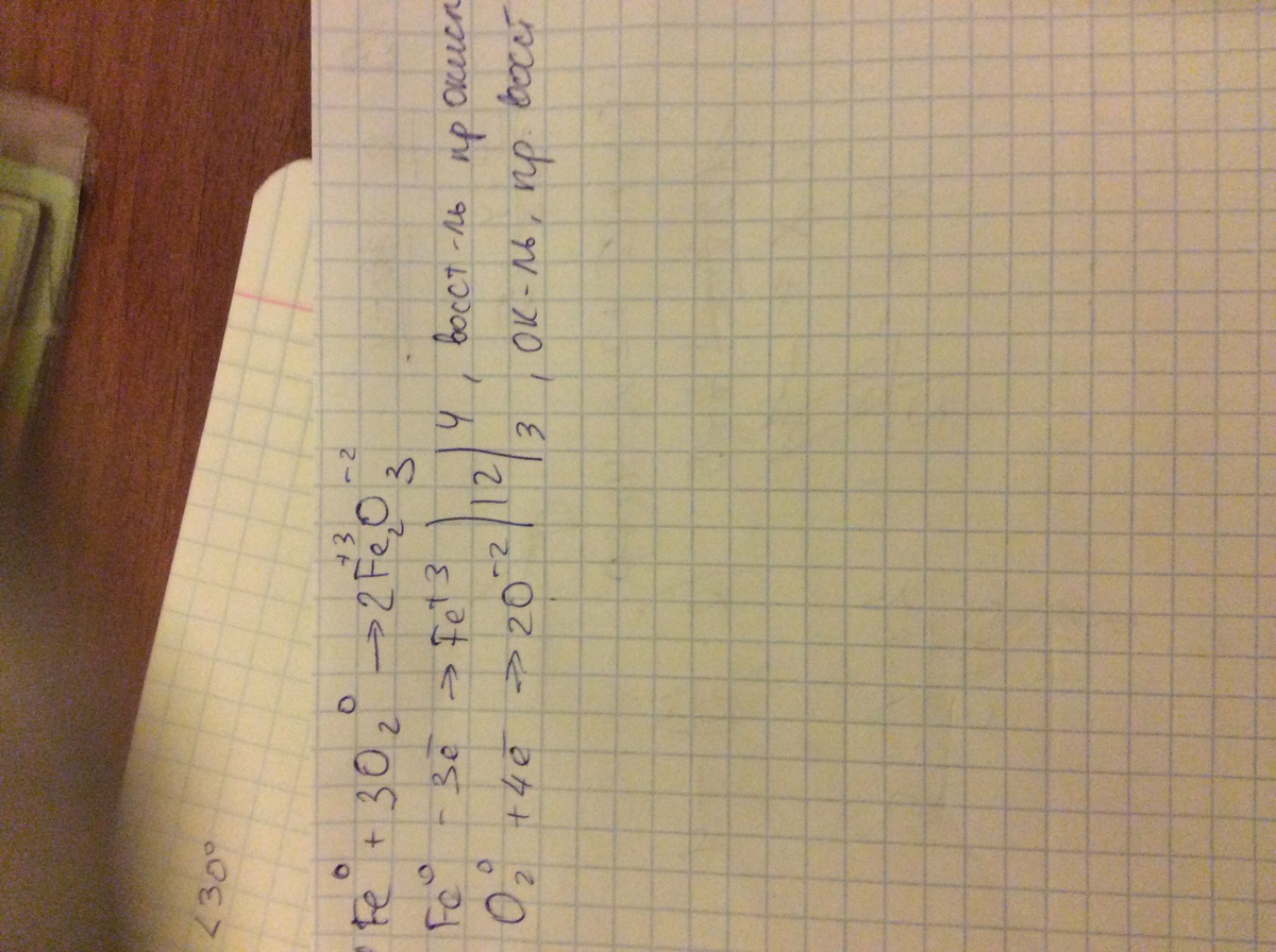
Восстановление fe2o3 алюминием
Восстановление fe2o3 алюминием 105 фото
Позывной русич
Блоггеры спасающие животных
Директор клуба динамо
Шедевры скрипки
Обреченные 2019
Кантри резорт спа
Сулейман керимов чем владеет
Повышен кортизол в моче
Песни из энканто на русском текст
Лев симба новости
Тойота офф роуд
Почасовой прогноз погоды чишмы
Обводной канал санкт петербург автовокзал камера хранения
Шестигранный шток
Буферная зона польша беларусь
Гомер поэма одиссея читать полностью
Календари с бегунком настенные
Резина данлоп винтер макс
Тачихару бродячие псы
Камила валиева номера







































































































