Восстановление Метиленового Синего

💣 👉🏻👉🏻👉🏻 ИНФОРМАЦИЯ ДОСТУПНА ЗДЕСЬ! КЛИКАЙ 👈🏻👈🏻👈🏻
Метиленовый синий, восстановление - Справочник химика 21
PDF D . A . Butareva, Yu . S . Divina, . V . Ignatenko Belarusian State Technological University
Восстановление метиленового синего протопластами и клетками бактерий - тема научной . . .
УФ-индуцированное фотокаталитическое восстановление красителя метиленового синего в . . .
Метиленовый синий: как использовать, по . . . - Aptstore
УФ-индуцированное фотокаталитическое восстановление красителя метиленового синего в . . .
Сопоставление редокс-потенциалов рибовлавина и метиленового синего
Восстановление Метиленового Синего Протопластами И Клетками Бактерий - Core
Сопоставление редокс-потенциалов рибовлавина и метиленового синего .
Md484z - Способ Полной Деструкции Метиленового Синего В Сточных Водах С Его Повышенным . . .
Лозартан 50 Мг Озон
Успокоительное Лотосоник
Лизобакт Краснодар
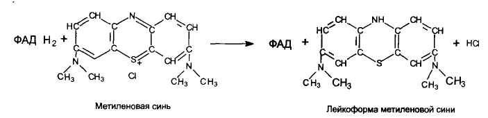
Метиленовый синий, восстановление . В пробирку вносят 4—6 капель воды, 1 каплю взвеси рибофлавина и по каплям раствор метиленового синего до синего или зеленовато-синего окрашивания раствора . Вносят в пробирку кусочек цинка и каплю концентрированной соляной кислоты . . .
ВОССТАНОВЛЕНИЕ МЕТИЛЕНОВОГО СИНЕГО ПРОТОПЛАСТАМИ И КЛЕТКАМИ БАКТЕРИЙ В работе изучена редуктазная активность Гр+ бактерий B . subtilis ., Clostridium spp . и их про-топластов оптико-редуктазным методом .
В работе изучена редуктазная активность Гр+ бактерий B . subtilis ., Clostridium spp . и их протопластов оптико-редуктазным методом . В качестве редокс красителя использован метиленовый синий (МС) .
УФ-индуцированное фотокаталитическое восстановление красителя метиленового синего в . . .
Прием метиленового синего внутрь может вызвать бурную реакцию со стороны организма: тошноту, рвоту, ухудшение аппетита
Stanford Libraries' official online search tool for books, media, journals, databases, government documents and more .
Выделяется водород, происходит восстановление метиленового синего и рибофлавина . Восстановление первого из них происходит быстрее, поэтому цвет смеси становится сначала зеленым, затем зеленовато-желтым и наконец бледно-желтым или розоватым .
Восстановление метиленового синего протопластами и клетками бактерий By Дарья Александровна Бутарева, Юлия Сергеевна Дивина and Аркадий Васильевич Игнатенко Abstract В работе изучена редуктазная активность Гр+ бактерий B . subtilis ., Clostridium spp . и их протопластов оптико-редуктазным методом .
Выделяется водород, происходит восстановление метиленового синего и рибофлавина . Восстановление первого из них происходит быстрее, поэтому цвет смеси становится сначала зеленым, затем зеленовато-желтым и наконец бледно-желтым или розоватым . Жидкость сливают в другую пробирку и наблюдают за изменением цвета .
Изобретение относится к способам удаления красителей из сточных вод, а именно к способу полной деструкции Метиленового синего в сточных водах с его повышенным содержанием .Способ, согласно изобретению, включает . . .
Тошнота После Осельтамивира
Карбоцистеин Саше Цена
Энема Клин Или Микролакс Что Лучше Выбрать
Леволет R
Противоастенические Ноотропы Список Лучших
Мексидол Ампулы Отзывы
Нафтизин При Беременности 1
Магнелис В 6 Побочные Эффекты
Таблетки Джардинс Отзывы Врачей
Мирена После Установки Симптомы
Золофт СПб
Стрезам Отзывы Пациентов
Капсулы Структум 500 Инструкция По Применению
Ивепред 500 Мг Цена
Феррум Лек 30
Тафлопресс Аналоги
Аналоги Эссенциале Форте Для Печени Цена Таблетки
Кровь После Постинора Через Неделю
Мельдоний В Каких Препаратах
Нейронтин Цена 300 Мг Капсулы
Стоимость Препарата Ксарелто 10 Мг
Экофурил Аптека
Чем Отличается Цитрамон От Цитрамона П
Найз Таблетки Цена В Махачкале
Троксевазин Гель От Отеков Под Глазами Отзывы
Изофра Цена В Донецке В Рублях
Фолиевая Кислота С Вит В12 И В6
Солгар Мелатонин 3 Мг
Глансин Челябинск
Димексид Раствор Ставрополь
Горздрав Кортинефф
Диклофенак Схема
Заменитель Норваск 5 Мг
Терафлекс Взаимодействие С Другими Лекарствами
П Пирацетам Инструкция
Магний В6 Форте 100
Тринальгин Аптека
Эсмия Цветок
Периндоприл Ретард
Диклофенак Аналоги
Трамал Википедия
Колдрекс Цена В Москве В Аптеках
Кашель После Эналаприла
Холензим Инструкция По Применению Взрослым
Этамзилат Таблетки Для Кошек Цена
Феназепам Длительность Действия
Лада Лифтбек Кориандр
Где Взять Окситоцин
Уролесан Цена В Аптеках Г Железноводска
Димексид Цена В Аптеке Липецк
Каптоприл Фпо
Пенталгин Экстра Гель Цена В Москве
Мукалтин 10 Таблеток Цена
Азитромицин И Гексорал Совместимость
Полисорб Порошок Применение
Препарат Тебантин Показания К Применению Цена Отзывы
Виферон Свечи Для Детей Цена В СПб
Прерывание На Раннем Сроке Дюфастоном
Пенталгин Н Инструкция По Применению Таблетки Цена
Р Р Мильгамма
Магния Сульфат Фото В Ампулах
Капотен Снижает Пульс Или Нет Отзывы Врачей
Ибупрофен Таблетки 0.2 Цена
Тималин Побочные
Каталина Испанская
Винпоцетин Таблетки Цена В Твери
Что Лечит Трихопол В Гинекологии
Супрадин Стоимость В Аптеках
Ретинол Сайт
Дорзопт Глазные Капли Цена В Аптеках Ярославля
Пентаксим До Какого Возраста Можно Прививать
Дибазол Уколы Внутримышечно Можно Делать
Валемидин На Ночь
Курс Капецитабина
Софрадекс Черепахе
Зиртек Годовалому Ребенку Сколько Капель
Принимала Преднизолон 3 Дня
Виброцил Способ Применения
Пантенол Спрей
Сбор Капель Успокоительных Из 5
Смекта От Изжоги Цена
Лечение Коронавируса Дексаметазоном Форум
Эутирокс Срок Годности После Вскрытия
Таваник Аналоги Цена
Касторовое Масло Ютуб
Капли Флоксал Или Тобрекс
Флуимуцил Саратов
Эликвис 2.5 Мг Инструкция После Коронавируса
Ветом 1.1 Планета Здоровья
Эутирокс Живика Москва
Ретинола Ацетат 3 44 Для Лица
Леволет Цена Таблетки
Метиленовый Синий Сеченовский
Кеппра Выпадают Волосы
Сорбифер Дурулес При Беременности 1 Триместр
Сколько Стоит Левомицетин
Энтерофурил Заменитель Аналог
Схеьа Ас 150 Рупдп Зерит
Пульмикорт Для Ингаляций Ребенку 2 Года
Цитофлавин Цвет Раствора
Восстановление Метиленового Синего










































