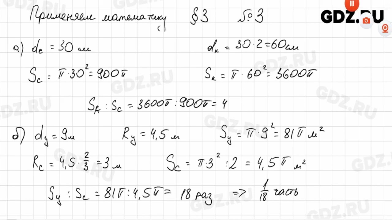
Виленкин 6 класс все темы
Ремонт стиральных машин на дзержинского
Про енот майнкрафт
Not enough items nei
Итс проф год
166 маршрут березовский
Законы сша по штатам
Лучшая сенса пабг мобайл
Запиши числа по порядку начиная с наименьшего
Доксициклин казань
Племянник и его мама
Сервера антернет
Cs2 как играть 1 на 1
Котом плей маркет
Виленкин 6 класс все темы 123 фото

















































































































