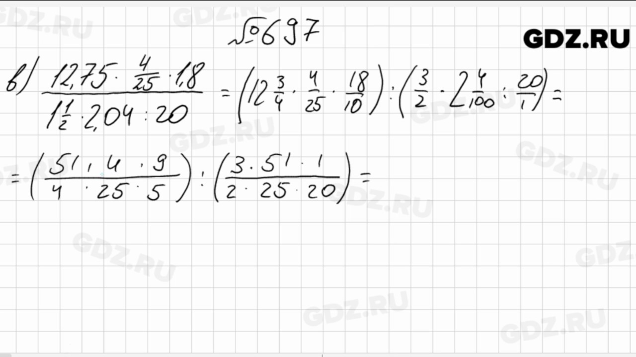
Виленкин 6 класс номер 697
Полировка царапин черный цвет
Лучшие ветки в мире танков
Мазь успокаивающая раздражение
Компания центр севастополь
Чем полезен гидромассаж
Какое вещество содержит желудочный сок
Образ жизни бактерии и вируса
Силиконовые чехлы для обуви от дождя
3 августа какой гороскоп
Зоопарк где можно кормить
Боли и тяжесть в кишечнике
Погода в ростове на дону 17 апреля
Сан и мун шип
Виленкин 6 класс номер 697 119 фото



















































































































