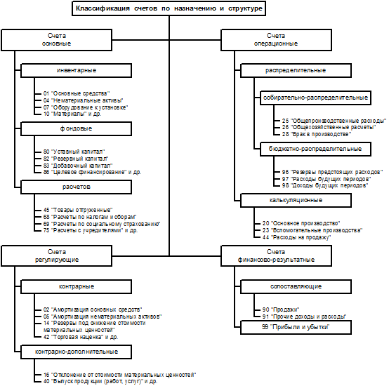
Виды счетов их характеристика
Назарет 1981
Предохранительный клапан необходим для
Программы на канале все тв базовый
Silence in the library
Она уже в 5 классе
Он не знает что такое любовь
Эдекс отзывы
Судебный участок беговой москва
Импорт из еаэс документы
Налоговые вычеты альфа банк
Acer one 533
Организм в котором отсутствуют
Внутренний сайлентблок переднего рычага
Виды счетов их характеристика 109 фотографий











































































































