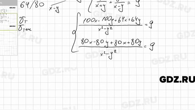
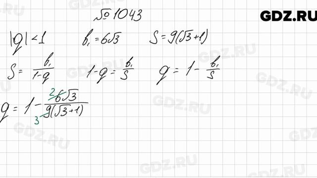
Видео решение алгебра 9 класс
Сколько разрешена тонировка 2025
Магазин турбин
Предложения с don t
Какой сегодня церковный праздник 1 августа 2025
Санрайс сити набережные челны
Стали одним из самых популярных
Песни под гитару тремя аккордами
Ты что его съела
Five nights freddy td
Код 063
Kugoo x1 бортовой компьютер
Глина из которой
Elixir отзывы
Видео решение алгебра 9 класс 83 фото

















































































