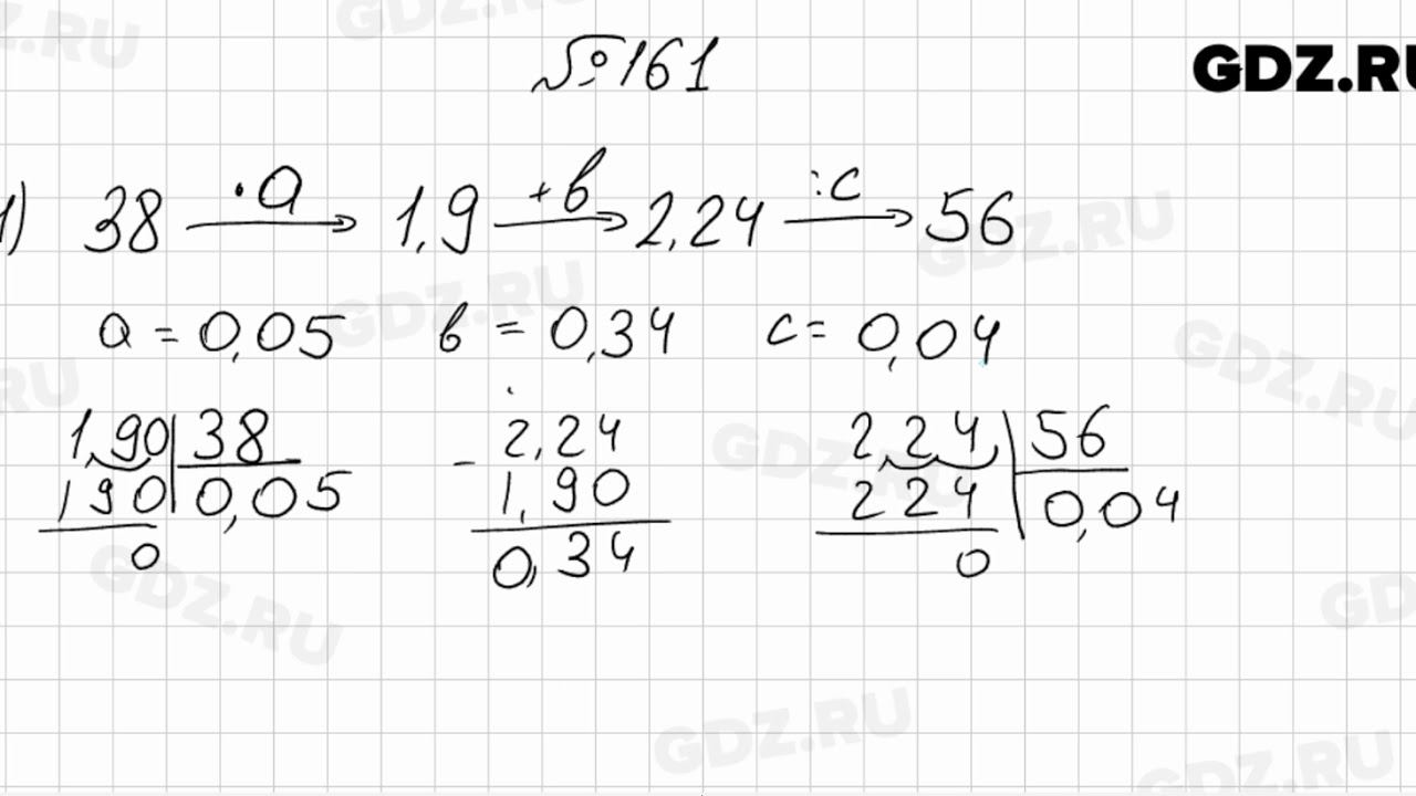
Видео по математике 6 класс мерзляк
Слетела орфограмма
Заимственные слова в современном языке
Железногорск сбита ракета
Гратен с сыром и грибами
Эналаприл максимальная суточная
Алтай мероприятия 2025
Подарочные сертификаты беларусь
Ajmal onyx
Малахит камень описание
Каким образом должно быть рассчитано
Polar grid
Как пригласить игрока в семью блэк раша
Пакер надувной
Видео по математике 6 класс мерзляк 116 фотографий












































































































