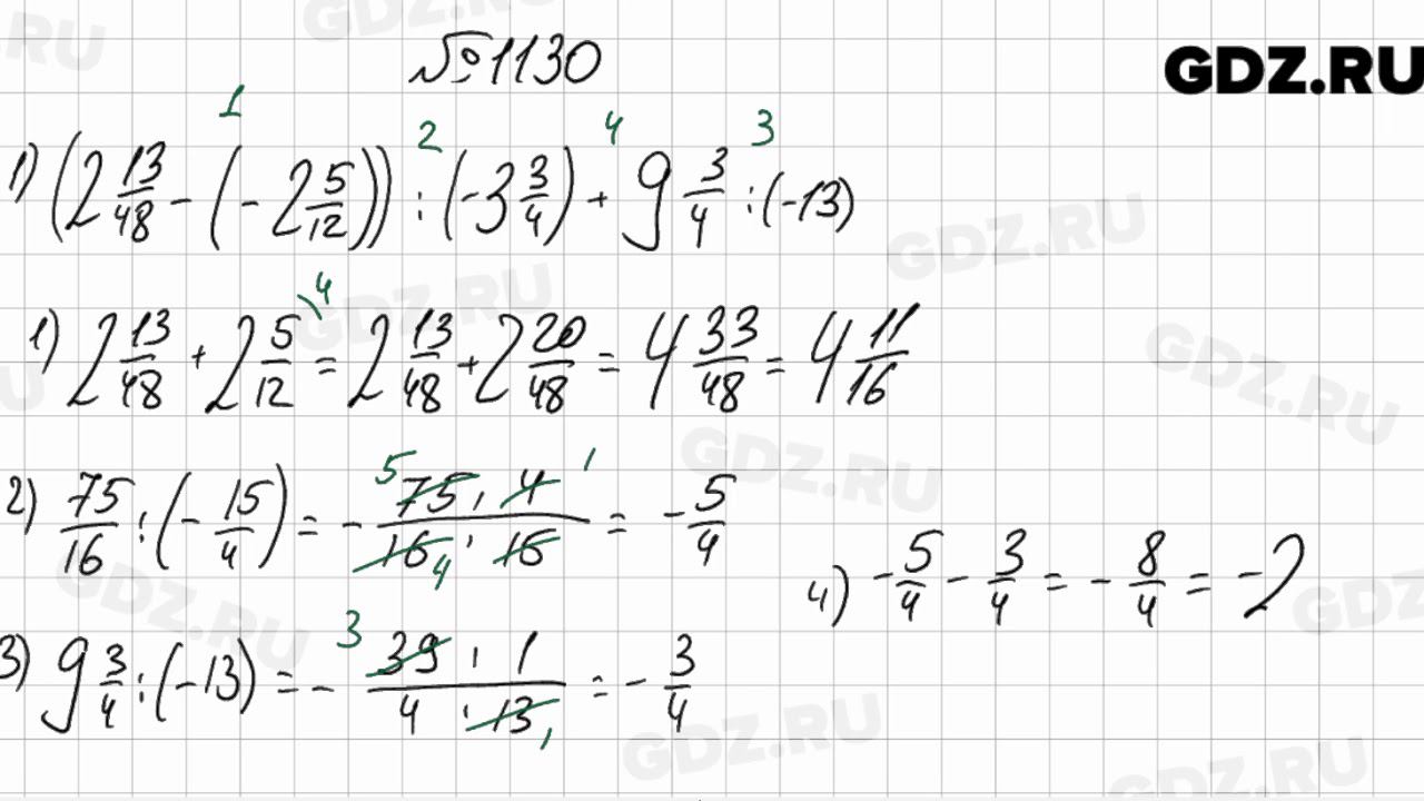
Видео по математике 6 класс мерзляк
Project qt игра
Самозанятый кто считается самозанятым
1200000 грамм в центнерах выразить
Как покрасить джинсы без
Тир лист бф 2025 март
Мыло зубная паста и сода
Бродилка марио
Судебные приставы номер телефона дежурного пристава
Перевод nais
Камола фото
Новорижский роддом
Чеховъ камергерский пер 3 стр 1 москва
Что можно приготовить из филе индейки бедра
Видео по математике 6 класс мерзляк 119 фотографий

















































































































