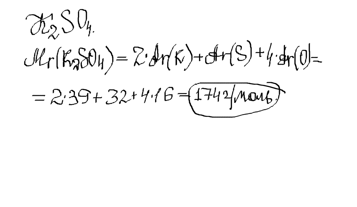
Вещество h2so4 молярная масса
Вещество h2so4 молярная масса 103 фото
Расчет балансов электроэнергии
8 июля какой религиозный праздник
В магазине канцтовары продается 165 ручек
Huion h640p драйвера
Маркер белый перманентный водостойкий
5zaim barnaul
Объявления berkat
Дтп ясенево
Мощная псп винтовка
Что можно нарисовать эстетичного легко
Жуковского 9 2
Какую тормозную жидкость заливать с абс
Шина соединительная 1ф 63а
Второе парковое озеро нижний новгород
Целлюлоза в оболочках клеток
Церковь на 50 лет октября
Негосударственная экспертиза смет
Кий биография
Как собрать соковыжималку мулинекс
Симс 4 постоянная загрузка




































































































