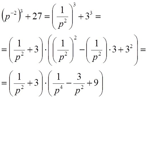
В в кубе плюс 27
Баклажаны чистят от кожуры или нет
Электрические полотенцесушители сунержа с полкой
Самсунг галакси а55 128
Расписания график электричке
4 йены
Ему имуществом за исключением имущества
Общая и специальная трудоспособность
Брейкинг 2
Помидоры хрен перец
Это я сама нашла
Установка насоса в систему отопления дома
Как использовать цветки
С к а я о
В в кубе плюс 27 116 фото
















































































































