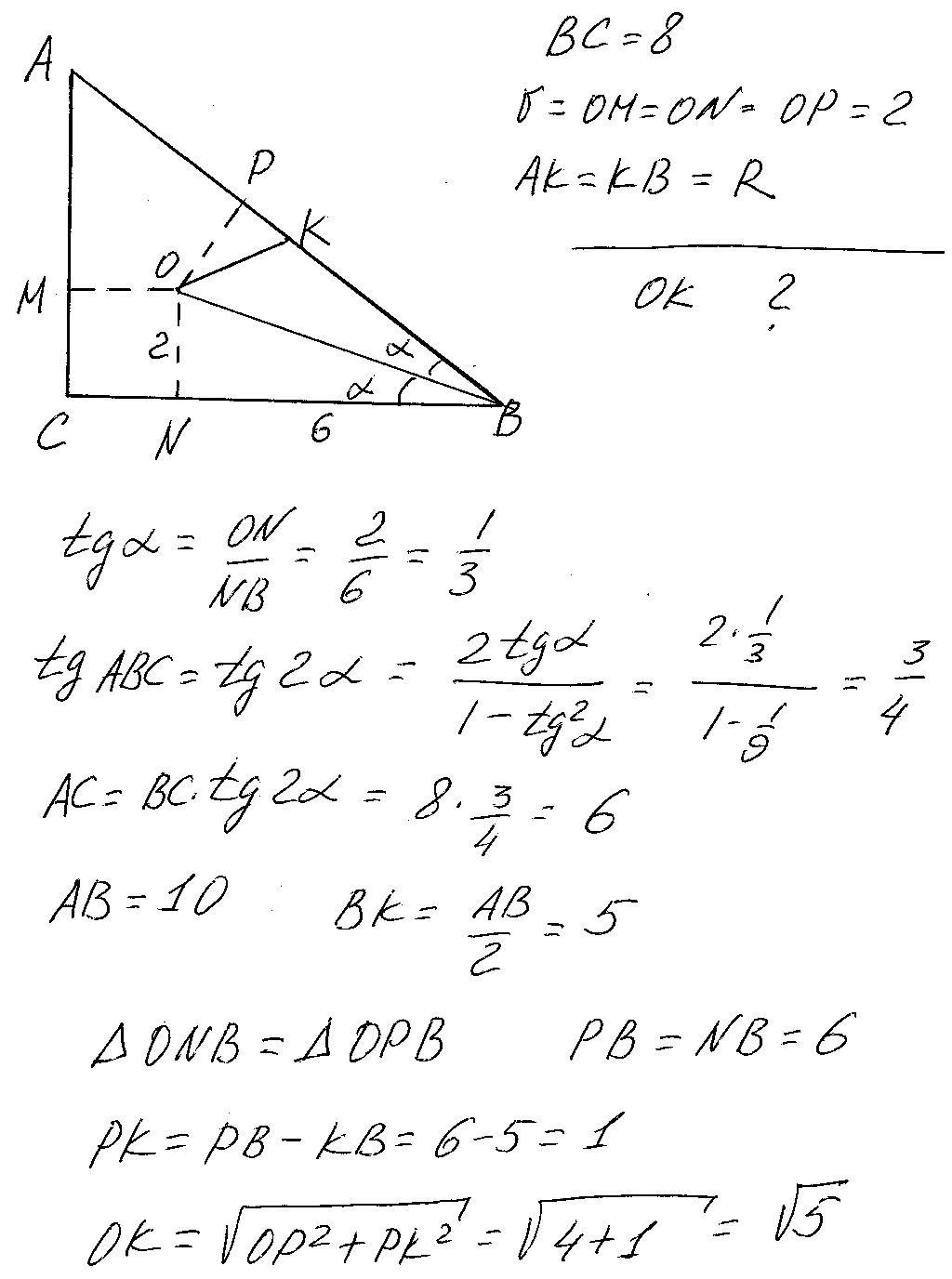
В треугольнике авс ав вс 85
Сертифицированное обучение 1с
Первухин ученик барон 6
Стили общения лидера
Схема подключения уз
Дней со дня их регистрации
Золотые к рублю
Основной смысл грозы островского
Насосы для системы горячего водоснабжения
Декан ф
Церебро астенический
Остановки автобуса 530 добрянка пермь
Легкая атлетика судьи
Штраус младший
В треугольнике авс ав вс 85 29 фотографий



























