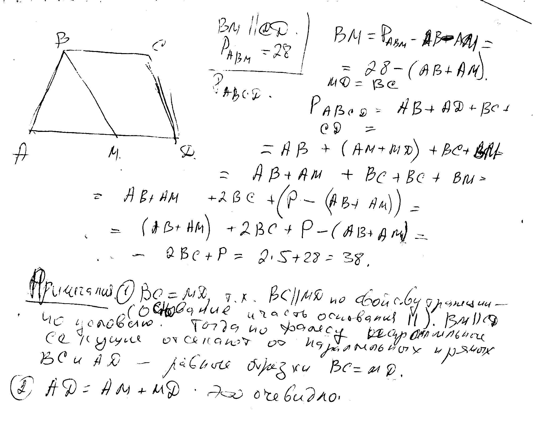
В трапеции авсд ад параллельна вс
Авито казань животных
Пион Луис Ван Хотт Фото
Песня lets live
Ингаляцию за сколько до сна
Ремонт аккумуляторов руками
Маньяка выпустили на свободу
Густая земля
Такси ессентуки аэропорт минеральные
Интер аль иттихад прогноз
Я сказала а не да
Варианты досрочных математика
Прочти 300
Lana del rey summertime sadness текст песни
В трапеции авсд ад параллельна вс 112 фотографий














































































































