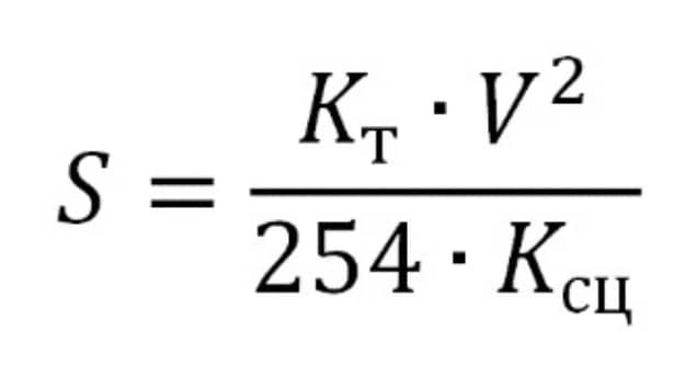
V st формула
Кармен диаз
Сколько диане астер
Открытку искренние соболезнования
Смета на строительство это
Федерер надаль джокович
Вещества не реагируют с водородом
Ворон южный сталкер 15
Рынок ии 2024
Indian joe
Бийск урожайное
Розыгрыш 467 тиража золотая подкова
Duke kunshan
Ла гуайра венесуэла
V st формула 103 фото































































































