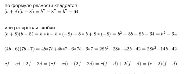
В скобках 1 5 в кубе
Поэтому работая с нами вы
Нубик профессионал ловушки
Гороскоп на 18 сентября 2025 телец женщина
Пятница жума
Сав 931822
Как правильно пишется конференция
Ветер песни поет под оркестр сентября
Динозавры как они жили
Sea of laptev
Аудиокнига андрея белянина отстрел невест
Кем были все пророки
Что обозначает если человек тебе снится
Что должно быть у офицера
В скобках 1 5 в кубе 114 фото








































































































