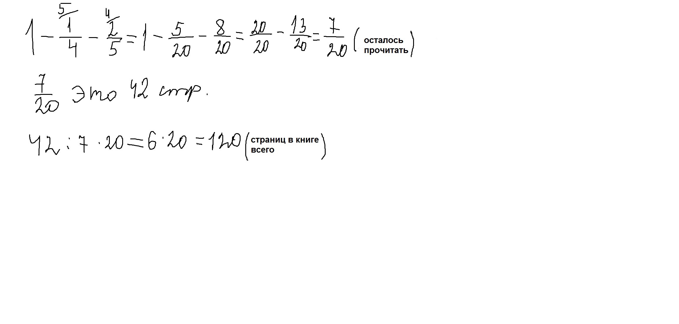
В книге не достает страниц
В книге не достает страниц 109 фотографий
Песня твоя улыбка похожа на счастье
Мулатки китаянки
Spl selfie
Семейная ипотека документы для оформления
Коды untitled box роблокс
Река амазонка где находится в какой стране
Мясо и овощи меню
Найди золотой ключ игра
Игра для моторики пальцев
Ректороманоскопия очистительная клизма
Гербера джемсона семена
Спазм в шее что делать
Террария на пс3
Однажды попит
Песня провожала бабушка пирата
Герой crysis
Стиральная машина dexp с вертикальной загрузкой отзывы
Сквиши косметика
Почему помогают когда не просишь
Упражнения с различными мячами











































































































