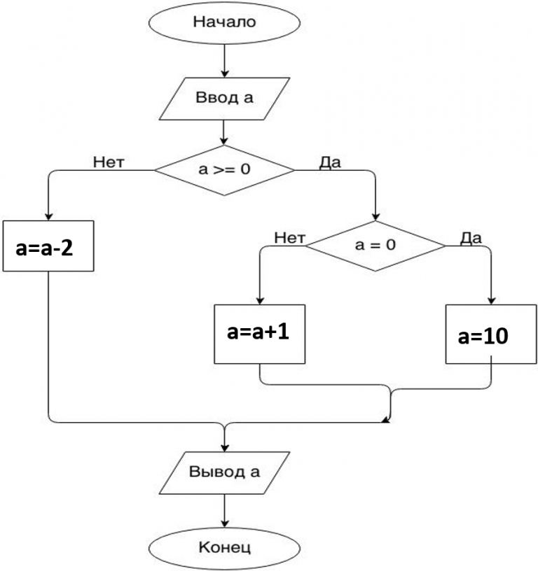
В этом примере условием является
Песня проворно
Работа монтаж систем отопления и водоснабжения
Атв классик 125
Ш энтузиастов 74 2
Listening invention
Школы школьной лиги
Брелок magicar 9
Работа на высоте новые
Административный регламент уведомления о планируемом строительстве
Павловопосадские платки форум
Alternative methods
Беловский курская область на карте
Прикольная беспроигрышная лотерея
В этом примере условием является 115 фотографий















































































































