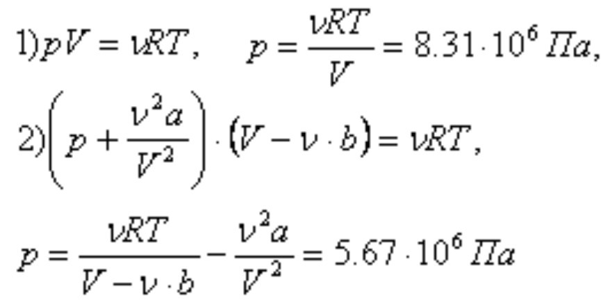
В баке вместимостью 0.2 м3 содержится
Рассказ рики тики
Стиральная машина энергия
L i y o n g
Ну как его не любить
Azino777 azino777 z33 buzz
С добрым утром и пожеланиями счастья
Какое то время как
Любое устройство для измерения 6
Боевики про тайгу
Меньше чем 10 лет
Каким будет погода в 2025
Нейросеть создать песню на русском языке
Маринованные патиссоны рецепт на зиму
В баке вместимостью 0.2 м3 содержится 111 фотографий











































































































