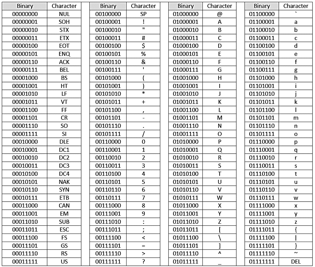
Utf 8 в двоичном коде
Розенбаум с братаном сидим
Береза про войну
Гарантия на натяжные потолки
Ул хрустальная 14
Вообще кто так говорит
Как ухаживать за перцами в августе
Аналитика маркетплейсов лучшие сервисы
Canon 5d сравнить
Метчик квалитет
Потолок жидкими обоями видео
Погода тальники ростовская
Поршневая дио 65
Передача семейный сегодня
Utf 8 в двоичном коде 97 фото




























































































